Переглянути домашні завдання (відповіді) онлайн
Розділ 1. Натуральні числа і геометричні фігури № 1-926
Розділ 2. Дробові числа № 927-2016
Задачі для повторення № 1907-2016
19071908190919101911191219131914191519161917191819191920192119221923192419251926192719281929193019311932193319341935193619371938193919401941194219431944194519461947194819491950195119521953195419551956195719581959196019611962196319641965196619671968196919701971197219731974197519761977197819791980198119821983198419851986198719881989199019911992199319941995199619971998199920002001200220032004200520062007200820092010201120122013201420152016

































































































































































































































































































































































































































































































































































































































































































































































































































































































































































































































































































































































































































































































































































































































































































































































































































































































































































































































































































































































































































































































Виберіть цей номер там де розбито по розділам і параграфам (випадаючі меню: Розділ 2 - параграф 36). Зараз там є всі завдання.
Скоро додам.
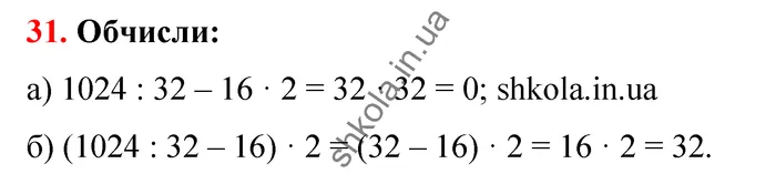
Якось додам. Розв'язок ось:
1) 102 : 51 = 2 (км/год) – швидкість течії;
2) 30 + 2 = 32 (км/год) – власна швидкість катера;
3) 32 + 2 = 34 (км/год) – швидкість за течією;
4) 102 : 34 = 3 (год)
Сьогодні додам
Так, дякую, сьогодні виправлю.